Do not input private or sensitive data. View Qlik Privacy & Cookie Policy.
Skip to main content

Announcements
Save $650 on Qlik Connect, Dec 1 - 7, our lowest price of the year. Register with code CYBERWEEK: Register
cancel
Showing results for 
Search instead for 
Did you mean: 
panipat1990
Creator II
Creator II

HELP

Dear Team,

I stuck a requirement Kindly help me .

I Have a Sale data.i want to Caluclate some figure  ..

Header 1Header 2Header 3Header 4Header 5Header 6
TOP 50% volume contributors
Next 30%
Balance 20%
SUMMARYTOTALABC
MARKET TYP203512
MARKET SIZE1000500300200

HERE TOAL IS SHOWING TOTAL PERSON WHO SALED THINGS. AND SUM SALES

A:-SHOWING 50% SALE WITH COUNT OF THOSE PERSON WHO SALED 50% THNGS

B:-SHOWING 30% SALE WITH COUNT OF THOSE PERSON WHO ONLY SALED 30 %

C:-SAME SHOWING ONLY 20%

For this i am sharing data

13 Replies
panipat1990
Creator II
Creator II
Author

Still be waiting

panipat1990
Creator II
Creator II
Author

Still be waiting

Digvijay_Singh

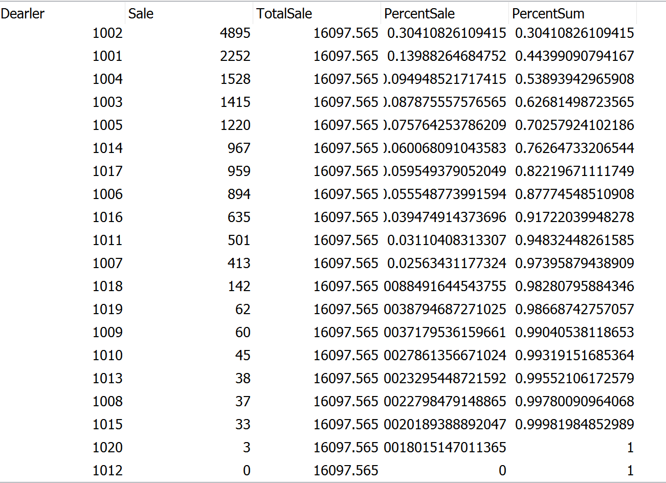
Normally It doesn't work like that. In your data you have 2 top values with 4895 and 2252, both contribute to total 44%.

Now the third top value 1528 if added becomes 53% of total contribution.

Now here I need to know  how do you want to move forward, if we include 3rd value in the 50% expression, the total will become more than 50%(its 53%)

The ideal situation of having exact values at 50%, 80% etc generally won't be there in real data.

If you want exact values of 50%, 80%, we can show by direct calculation but how will you distribute the count as they don't exactly falls into the 50%, next 30% and next 20% boundaries. See the data below -

Let me know how do you want, accordingly will make the changes

Capture.PNG

Digvijay_Singh

See the attached where I calculated Sum as you desired but normally not preferred, also in count I included values which are near to 50%, 80%