Unlock a world of possibilities! Login now and discover the exclusive benefits awaiting you.
Hello.... I have a problem.
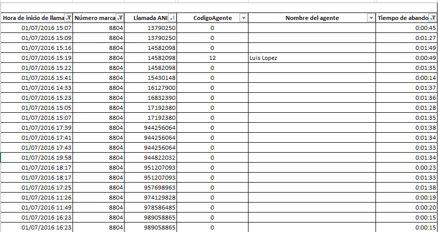
1. I have this values.

2. I need to count the column "Llamada" but the number cant not repeat and the column "Nombre del agente" have to be null.
If you see the row 4, 5 and 6 its the same number and have a value "Luis Lopez" in column "Nombre del agente" so, this number not enter in the count.
I try with this:
count(distinct if(Clasificacion_llamada='A' and Nombre_del_Agente = '' ,Llamada_ANI))
This work correctly if the column "Nombre agente" were null, but how have a value firts delete this row and count a number i need to not count a numbre because this numbre were a name.
Is that clear? sorry for my english..
Thanks
Try with set analysis, as it first updates the record set as per modifiers and then apply count distinct logic, You may need to correct the set stmt formattin -
Count({<Clasificacion_llamada={'A'}, Nombre_del_Agente ={"$(=len(Nombre_del_Agente))=0"}>} distinct Llamada_ANI)
Maybe like
=count({<Clasificacion_llamada={A}, Llamada_ANI = {"=Count(Nombre_del_Agente)=0"} >} distinct Llamada_ANI)
or
=count({<Clasificacion_llamada={A}, Llamada_ANI = {"=Len(trim(Concat(Nombre_del_Agente)))=0"} >} distinct Llamada_ANI)
Or maybe add the first filter to the advanced search (depending on your exact requirements), like in
=count({< Llamada_ANI = {"=Count({<Clasificacion_llamada={A}>} Nombre_del_Agente)=0"} >} distinct Llamada_ANI)
Thanks.... .I tried and have other question, how should i use in case i dont want to compare whit the variable "Nombre_del_Agente" and i need to use "CodigoAgente"

This is my original code
count(distinct if(Clasificacion_llamada='A' and Agente_Key = 0 and Duracion_de_abandono > '00:00:05',Llamada_ANI))
But, in case the column "llamada ANI" have a agent_key different a "0" this number llamada_ANI should not enter in the count.
So, for this case the value should be like this.
Quantity for 01/07 : 12
Not count the number "14582098" (blue color) because one row have a codigoAgente different a "0"

Maybe lik
count({<Clasificacion_llamada={'A'}, Duracion_de_abandono = {">00:00:05"},Llamada_AN = {"=Sum(Agente_Key)=0"} >} distinct Llamada_ANI)
Basically, use an advanced search with an appropriate aggregation function on the field you want to count.